اصطلاحات شبکه Wireless که باید بدانید
آیا تفاوت Access Point و شبکه ad hoc را می دانید؟Wireless Repeater چیست و چگونه شبکه خانگی شما را بهبود می بخشد؟ با ما همراه باشید...

اصطلاحات بی شمار بیشتری در زمینه Wireless وجود دارد که مفاهیمی عمیق تر از لغت Wifi را در خود دارند؛ و دانستن آنها می تواند بسیار سودمند باشد.
دانستن این اطلاعات نه تنها باعث افزایش اطلاعات شما در زمینه شبکه خانگی، مدرسه و حتی محل کار می شود، بلکه در مواقع ایجاد خطا، به شما کمک می کند که مشکل را پیدا کرده و آن را بر طرف کنید. در ادامه اصطلاحات مهم و کلیدی شبکه را به شما معرفی می کنیم.
Access Point

قبل از اختراع اتصالات بی سیم، شبکه ها متشکل از تعداد زیاد و طولانی کابل های به هم پیوسته بودند؛ و برای متصل شدن به یک شبکه، می بایست که دستگاه شما به صورت فیزیکی به این شبکه متصل می شد.
Access Point یا محل دسترسی، دستگاهی است که به شبکه متصل بوده، و به دیگر دستگاه ها امکان و اجازه اتصال به شبکه بصورت Wireless یا بی سیم را می دهد.
یک اکسس پوینت می تواند شخصی و یا همگانی باشد. یعنی روی یکی از این دو حالت تنظیم شود. حالت شخصی مخصوص جایی مثل منازل است، که اطلاعات آن رمزگذاری شده و دسترسی به آن نیازمند گذر واژه است، و تنها اعضای خانواده امکان اتصال به آن را دارند.
حالت همگانی هم مناسب جایی مانند یک کافه است که هر فردی می تواند به آن وصل شود؛ که در این صورت نام دیگر این نوع اکسس پوینت Wireless Hotspot یا نقطه کانونی بی سیم خواهد بود.
لازم به ذکر است که منظور از یک شبکه، بطور مثال شبکه خانگی، یک اتصال است که دستگاه های متصل به شبکه را به یکدیگر وصل می کند، و این دستگاه ها می توانند اطلاعات و فایل های مختلف را برای یکدیگر ارسال کنند. و حال اگر این شبکه به اینترنت نیز متصل باشد، دستگاه های متصل به شبکه نیز می توانند از طریق شبکه به اینترنت دسترسی پیدا کنند. بنابراین گمان نکنید که Access Point همان Wireless Router است .
البته این دو مورد شباهت ها و اشتراکات زیادی با یکدیگر دارند، اما در اصل می توان این طور گفت که یک Wireless Router (مرتبط کننده بی سیم) به خودی خود یک Access Point به حساب می آید، اما Access Point جامع تر و کلی تر است.
Ad Hoc Network

یک شبکه بی سیم ad hoc نوعی شبکه بی سیم است، که کاملاً مستقل بوده و به یک شبکه ای که موجود باشد نیازی ندارد.
لغت ad hoc در اصل یک لغت لاتین است که به انگلیسی می شود For this، یا برای این، و زمانی استفاده می شود که چیزی تنها برای یک هدف خاص ایجاد شود. بنابراین زمانی که شما 2 لپ تاپ را به یکدیگر متصل می کنید، شما یک شبکه ad hoc را بوجود آورده اید.
نکته ای که در رابطه با شبکه ad hoc وجود دارد این است که هیچ دستگاهی به عنوان Hub (قطب) یا متمرکز کننده برای اتصال دستگاه ها به یکدیگر، برخلاف آنچه که یک Access Point وظیفه آن را دارد، وجود ندارد؛ و دستگاه ها بصورت جفت به جفت به یکدیگر مرتبط می شوند.
Wireless Router

یک مرتبط کننده بی سیم، هم بعنوان یک Access point و هم به عنوان یک Network Router (مرتبط کننده ی شبکه) عمل می کند. به عبارت دیگر، به عنوان دروازه اتصال بی سیم به شبکه، و همچنین فرستنده اطلاعات و داده های ورودی شبکه به دستگاه های متصل (مانند کامپیوتر دستکتاپ، لپ تاپ، موبایل و...) انجام وظیفه می کند. بطور عامیانه، در منازل از وایرلس روترها به عنوان مودم وایرلس نیز نام می برند. در حالی که تفاوت یک وایرلس روتر با مودم این است که وایرلس روتر حتی زمانی که به اینترنت متصل نباشد، این توانایی را دارد که یک گوشی هوشمند را به کامپیوتر دسکتاپ متصل کند؛ در حالی که مودم تنها دستگاهی برای اتصال کامپیوتر به اینترنت است.
Wireless Repeater

تکرار کننده بی سیم که تحت عنوان Wireless Range Extender یا افزایش دهنده محدوده بی سیم نیز از آن یاد می شود، دستگاهی است که سیگنال یک Access Point را می گیرد و همان سیگنال را مجدداً به عنوان یک شبکه ثانویه منتشر می کند. کاربرانی که به این شبکه متصل می شوند نیز در اصل به همان شبکه اصلی وصل شده اند. همانطور که از نامش پیداست، می تواند به عنوان افزایش دهنده محدوده یک شبکه استفاده شود. بسیاری از وایرلس روترهای مدرن، یک تکرارکننده بی سیم درونی دارند که با فعال کردن آن، سیگنال شبکه بی سیم را تقویت می کند.
Wireless Bridge

به یاد بیاورید که یک اکسس پوینت دستگاهی بود که با سیم به یک شبکه وصل می شد، و به دستگاه های دیگر این امکان را می داد که بصورت بی سیم به شبکه وصل شوند. وایرلس بریج یا پل ارتباطی بی سیم، دقیقاً برعکس عمل می کند. پل ارتباطی ابتدا به صورت بی سیم به یک شبکه متصل می شود، و بعد دستگاه های دیگر، با سیم می توانند به آن وصل شوند. به عبارت دیگر، اگر شما یک شبکه بی سیم داشته باشید و بخواهید با یک دستگاهی به صورت سیمی به شبکه وصل شوید، به یک وایرلس بریج احتیاج خواهید داشت. بسیاری از وایرلس روترهای مدرن، قابلیت بریج شدن را دارند. یعنی شما یک وایرلس روتر ثانویه را خریداری می کنید، آن را روی حالت بریج قرار می دهید، و به وایرلس روتر اصلی (یا همان مودم) متصل می کنید. بر فرض اگر مودم در اتاق خواب باشد، وایرلس روتر ثانویه را می توانید به کنسول بازی تان در پذیرایی متصل کنید، بجای اینکه یک سیم LAN از مودم به کنسول بکشید. البته این کار از نظر اقتصادی اصلاً به صرفه نیست و صرفا جهت مثال گفته شد.
Wireless Network Adoptor

یک آداپتور بی سیم شبکه، به دستگاهی که امکان اتصال بی سیم به شبکه را ندارد، این توانایی را می دهد. این آداپتورها توانایی ارسال و دریافت سیگنال های بی سیم را دارند. لپ تاپ ها و تبلت ها به صورت داخلی این آدپتورها را دارند. این آدپتورها به دو صورت کارتی (که بر روی مادربورد کامپیوتر نصب می شوند) و دانگل USB عرضه می شوند. که البته مدل کارتی سرعت بیشتری دارد.




و


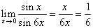
اکنون به چند مثال زیر توجه کنید :


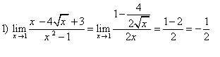
به مثال زیر توجه کنید :



























مهدی ابراهیمی صیقلان